Програма з поліпшення стану житлових будинків м. Щастя на 2011-2015 р.

ЩАСТИНСЬКА МІСЬКА РАДА
VI скликання
VIсесія
Р І Ш Е Н Н Я
від 25.02.2011 р.
№ 6/7
м. Щастя
«Про затвердження Програми
з поліпшення стану житлових будинків
м. Щастя на 2011-2015 роки »
Керуючись ст.143 Конституції України, Бюджетним кодексом України, згідно з загальними положеннями Закону України «Про Державний бюджет України на 2011 рік», доведеними макропоказниками економічного і соціального розвитку України на 2011 рік, Закону України "Про місцеве самоврядування в Україні", враховуючи рішення № 4/1 Щастинської міської ради від 11.01.2011 р. «Про затвердження Програми економічного, соціального та культурного розвитку міста Щастя на 2011 рік», Щастинська міська рада
ВИРІШИЛА :
1. Затвердити Програму з поліпшення стану житлових будинків м. Щастя на 2011-2015 роки (додається).
2. Секретарю Щастинської міської ради (Богиня О.О.) оприлюднити Програму з поліпшення стану житлових будинків м. Щастя на 2011-2015 роки в засобах масової інформації.
3. Секретарю Щастинської міської ради (Богиня О.О.) підготувати та винести на розгляд міської ради пропозиції, у разі надходження, зміни щодо змісту Програмиз поліпшення стану житлових будинків м. Щастя на 2011-2015 роки.
4. Контроль за виконанням цього рішення покласти на постійну комісію Щастинської міської ради зпитань комунального господарства, архітектури та будівництва ( Пухов О.П. )
Міський голова В.Л. Живлюк
Затверджено
Рішенням Щастинської міської ради
№ 6/7
Від 25.02.2011 р.
ПРОГРАМА
з поліпшення стану житлових будинків м. Щастя
на 2011 – 2015 роки.
1. Загальні положення
Розроблення Програми з поліпшення стану житлових будинків м. Щастя на 2011 – 2015 роки (далі - Програма) обумовлено:
1.1. Недосконалістю системи управління багатоквартирними житловими будинками;
1.2. Невчасним проведенням капітальних ремонтів житлових будинків;
1.3. Відсутністю доходів у населення для утримання багатоквартирного будинку;
1.4. Обмеженістю фінансових ресурсів, необхідних для проведення капітальних ремонтів, утримання в належному технічному стані житлового фонду.
2. Сучасний стан житлових будинків в м. Щастя.
Станом на 1 січня 2011 року у комунальній власності на балансі підприємства КП «Жилбудсервіс» перебуває 139 жилих будинків загальною площею 220 тис. кв. м.
Наявний технічний стан житлового фонду вказує на недофінансування з боку держави заходів з капітальних ремонтів будинків. Майже 86% житлових будинків експлуатується більш, ніж 50 років, 81% внутрішньобудинкових мереж мають ступінь фізичного зношування більш 70%. Деякі будинки потребують проведення повторного капітального ремонту.
Крім того, значних фінансових витрат потребує усунення недоліків технології будівництва великопанельних та великоблочних будинків через порушені тепловологісні умови експлуатації жилих помешкань.
На 1 січня 2011 року капітального ремонту потребують 77 багатоквартирних будинків, що становить більш ніж 50 % загальної кількості будинків.
На 1 січня 2011 року в місті приватизовано майже 93% квартир. Капітальні ремонти внутрішніх інженерних мереж будинку виконуються з залученням коштів співвласників будинку. Приймати участь в проведенні капітальних ремонтів покрівель та фасадів населення відмовляється, посилаючись на задекларовану державою тезу «Перший капітальний ремонт буде виконуватися за рахунок держави».
Важливим фактором поганого стану житлових будинків є неплатоспроможність населення і як наслідок- заборгованість населення за житлові послуги.
У зв’язку зі змінами зовнішніх максимальних температурних режимів в 2011 р. гостро постануть питання з експлуатації покрівель з м’яким покриттям. Будинків з м’якими покрівлями в м. Щастя нараховується 34 шт. Нажаль, сучасні технології ефективно працюють лишеза умови100% заміні покриття.
3. Мета Програми
Метою Програми є:
- покращення стану та збереження житлових будинків міста;
- залучення населення до участі в управлінні будинком;
- заохочення населення до створення ОСББ;
- зменшення соціальної напруги;
- покращення іміджу міста;
- залучення інвесторів до реконструкції покрівель під житло.
4. Основні напрями та заходи з реалізації Програми
Основні напрями та заходи з реалізації Програми (додаються) полягають в організації ефективного управління житловими будинками. Залучення населення до участі в утриманні житлових будинків. Створення ОСББ. Залучення інвесторів до реконструкцій горищ під житло та добудови легких (при можливості) додаткових поверхів у житлових будинках. Переобладнання м’яких покрівель на тверді.
5. Етапи виконання Програми
Програма розрахована на 5 років .
На протязі п’яти років передбачається:
- реконструкція м’яких покрівель під тверде покриття;
- капітальний ремонт твердих покрівель;
- капітальний ремонт фасадів будинків;
6. Організаційне та фінансове забезпечення виконання Програми
Фінансування Програми здійснюється за рахунок:
- коштів бюджетних програм;
- коштів обласного бюджету;
- коштів місцевого бюджету;
- власних коштів співвласників будинків;
- інших коштів, не заборонених законодавством.
Секретар ради О.О. Богиня
|
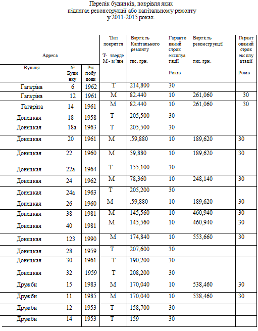
Додаток до ПРОГРАМИ з поліпшення стану житлових будинків м. Щастя на 2011 – 2015 роки, затвердженої рішенням Щастинської міської ради № 6/7 від 25.02.2011 р. |



Таблиця № 2
Перелік будинків, фасади яких
підлягають капітальному ремонту
у 2011-2015 роках.
|
Адреса |
№ будинку |
Кількість поверхів, шт. |
Площа фасаду, м2
|
Вартість, тис. грн. |
|
Донєцкая |
28 |
3 |
830 |
152,376 |
|
Донєцкая |
30 |
3 |
830 |
152,376 |
|
Донєцкая |
32 |
3 |
830 |
152,376 |
|
Донєцкая |
42 |
2 |
831 |
86,837 |
|
Дружба |
24 |
2 |
428 |
96,908 |
|
Дружба |
26 |
2 |
428 |
96,908 |
|
Дружба |
38 |
2 |
428 |
96,908 |
|
Комсомольская |
11 |
2 |
393 |
89,374 |
|
Лєніна |
1 |
2 |
381 |
86,837 |
|
Лєніна |
2 |
2 |
381 |
86,837 |
|
Лєніна |
3 |
3 |
728 |
138,739 |
|
Лєніна |
4 |
3 |
728 |
138,739 |
|
Лєніна |
6 |
3 |
728 |
138,739 |
|
Лєніна |
7 |
3 |
728 |
138,739 |
|
Лєніна |
8 |
3 |
728 |
138,739 |
|
Лєніна |
9 |
3 |
732 |
160,920 |
|
Лєніна |
10 |
2 |
732 |
160,920 |
|
Матросова |
1 |
3 |
830 |
152,376 |
|
Матросова |
2 |
3 |
830 |
152,376 |
|
пл. Міра |
2 |
3 |
830 |
152,376 |
|
пл. Міра |
3 |
2 |
381 |
86,837 |
|
пл. Міра |
6 |
3 |
728 |
138,739 |
|
пл. Міра |
7 |
3 |
728 |
138,739 |
|
пл. Міра |
8 |
3 |
920 |
200,694 |
|
пл. Міра |
9 |
3 |
920 |
200,694 |
|
Рєспубліканская |
1 |
3 |
950 |
177,188 |
|
Рєспубліканская |
2 |
3 |
960 |
209,022 |
|
Рєспубліканская |
3 |
3 |
950 |
177,188 |
|
Рєспубліканская |
4 |
2 |
381 |
86,837 |
|
Рєспубліканская |
5 |
2 |
428 |
96,908 |
|
Рєспубліканская |
6 |
2 |
428 |
96,908 |
|
Рєспубліканская |
7 |
2 |
381 |
86,837 |
|
Рєспубліканская |
8 |
2 |
381 |
86,837 |
|
Рєспубліканская |
9 |
2 |
428 |
96,908 |
|
Рєспубліканская |
10 |
2 |
428 |
96,908 |
|
Рєспубліканская |
12 |
2 |
381 |
86,837 |
|
Рєспубліканская |
13 |
3 |
728 |
138,739 |
|
Рєспубліканская |
14 |
3 |
728 |
138,739 |
|
Рєспубліканская |
15 |
2 |
428 |
96,908 |
|
Рєспубліканская |
17 |
2 |
381 |
86,837 |
|
Рєспубліканская |
18 |
2 |
428 |
96,908 |
|
Рєспубліканская |
19 |
2 |
381 |
86,837 |
|
Рєспубліканская |
20 |
2 |
428 |
96,908 |
|
Рєспубліканская |
21 |
2 |
381 |
86,837 |
|
Рєспубліканская |
22 |
2 |
428 |
96,908 |
|
Рєспубліканская |
23 |
2 |
428 |
96,908 |
|
Рєспубліканская |
24 |
2 |
428 |
96,908 |
|
Рєспубліканская |
24а |
2 |
381 |
86,837 |
|
Рєспубліканская |
25 |
2 |
428 |
96,908 |
|
Рєспубліканская |
26 |
2 |
381 |
86,837 |
|
Рєспубліканская |
27а |
2 |
428 |
96,908 |
|
Рєспубліканская |
28 |
2 |
381 |
86,837 |
|
Рєспубліканская |
29 |
2 |
428 |
96,908 |
|
Рєспубліканская |
30 |
2 |
428 |
96,908 |
|
Рєспубліканская |
31 |
2 |
381 |
86,837 |
|
Рєспубліканская |
32 |
2 |
381 |
86,837 |
|
Рєспубліканская |
33 |
2 |
428 |
96,908 |
|
Рєспубліканская |
34 |
2 |
428 |
96,908 |
|
Советская |
3 |
2 |
428 |
96,908 |
|
Советская |
4 |
2 |
381 |
86,837 |
|
Советская |
6 |
2 |
381 |
86,837 |
|
Советская |
7 |
3 |
728 |
138,739 |
|
Советская |
9 |
3 |
728 |
138,739 |
|
Советская |
10 |
3 |
728 |
138,739 |
|
Советская |
11 |
2 |
428 |
96,908 |
|
Советская |
12 |
3 |
920 |
200,964 |
|
Советская |
13 |
2 |
428 |
96,908 |
|
Советская |
14 |
3 |
920 |
200,964 |
|
Советская |
16 |
3 |
728 |
138,739 |
|
Советская |
20
|
2 |
428 |
96,908 |
|
Советская |
22
|
2 |
428 |
96,908 |
Разом 8 417,905
Розрахунки наведені в таблицях виконанні в цінах станом на 01.12.2010 р., та на момент проведення ремонту можуть містити не остаточну вартість проведення реконструкцій та ремонтів будинків.
Секретар ради О.О. Богиня




